8 de octubre de 2025
Análisis del Decreto 1553 de 2024, que reglamenta el artículo 25 de la Ley 2294 de 2023, en relación con el parágrafo transitorio del artículo 42 de la Ley 99 de 1993 sobre la tasa retributiva por vertimientos puntuales al recurso hídrico.
El 23 de diciembre de 2024 fue expedido el Decreto 1553 de 2024, que entró en vigencia el 1 de enero de 2025. Esta reglamentación modifica la configuración tarifaria del instrumento económico mediante la incorporación de tres variables -económica, ambiental y socioeconómica - en el cálculo del factor regional. Asimismo, introduce ajustes en los procedimientos de cobro y seguimiento del tributo medioambiental.
Por: Andrés Felipe Noreña Henao[1]
La tasa retributiva por vertimientos puntuales al recurso hídrico se concibe como un instrumento económico sustentado en el principio de “el que contamina paga”[2] y en la teoría del doble dividendo[3] (Noreña Henao, 2024a). Aunque en Colombia, ha contribuido a reducir las cargas contaminantes en los cuerpos de agua receptores de vertimiento, su implementación por parte de las autoridades ambientales ha resultado insuficiente, frente al cumplimiento de los objetivos de calidad del recurso hídrico y la cobertura del saneamiento municipal (MAVDT, 2010).
Asimismo, las evaluaciones realizadas por los entes de control son concluyentes en la importancia del tributo medioambiental para la preservación, la recuperación y la renovabilidad del patrimonio hídrico. No obstante, su efectividad ha sido limitada, pues la tasa se ha desempeñado principalmente como un mecanismo de financiación destinado a cubrir los gastos de funcionamiento de las autoridades ambientales. Esto la ha convertido en una fuente adicional de recursos dentro del Sistema Nacional Ambiental (SINA), desdibujando su finalidad de inducir cambios en los comportamientos insostenibles de los usuarios del recurso hídrico (Noreña Henao, 2024a).
Los Planes Nacionales de Desarrollo (PND) de 2015[4] y 2023[5] incorporan disposiciones que favorecen a los prestadores del servicio público de alcantarillado a través del ajuste del factor regional de la tasa retributiva. En particular, i) cuando se presentan retrasos en las obras previstas en el Plan de Saneamiento y Manejo de Vertimientos (PSMV) por razones no imputables al prestador del servicio y ii) mediante la adopción de criterios de gradualidad que permitan distribuir el factor regional bajo un esquema de tratamiento diferencial (Noreña Henao, 2024b).
Estas modificaciones responden a consideraciones de carácter socioeconómico orientadas a aliviar la situación de insostenibilidad financiera de los prestadores del servicio público de alcantarillado, mediante la reducción de los valores facturados por concepto de la tasa al sector doméstico, pese a que este constituye el principal aportante de carga contaminante al recurso hídrico. Esta situación desvirtúa el fundamento ambiental de la tasa y genera inequidad frente a otros sectores o actividades económicas sujetos a su cobro, al prevalecer un trato diferencial basado en criterios socioeconómicos hacia el sector doméstico, por encima de las evaluaciones ambientales necesarias para garantizar la recuperación y renovación del recurso natural (Noreña Henao, 2024b).
En esta misma línea se expide el Decreto 1553 de 2024, el cual reglamenta la tasa retributiva en cumplimiento de lo dispuesto en el artículo 25 de la Ley 2294 de 2023, que adicionó un parágrafo transitorio al artículo 42 de la Ley 99 de 1993, en los siguientes términos:
“PARÁGRAFO TRANSITORIO. El factor regional de la tasa retributiva por vertimientos para los prestadores del servicio público de alcantarillado en el territorio nacional se cobrará con el factor regional de 1 a los prestadores de los municipios, hasta el 31 de diciembre del 2024, plazo en el cual el Ministerio de Ambiente y Desarrollo Sostenible en conjunto con el Ministerio de Vivienda, Ciudad y Territorio, actualizarán los estudios, las evaluaciones y la fórmula con el que se calcula la tasa retributiva, así como los criterios de gradualidad para distribuir el factor regional en función de los compromisos asumidos por los prestadores del servicio público de alcantarillado, generando la correspondiente reglamentación con un esquema de tratamiento diferencial.”
A partir de lo anterior, el Ministerio de Ambiente y Desarrollo Sostenible (MADS) consideró pertinente adaptar y modernizar el tributo medioambiental, conforme a las realidades económicas, ambientales y sociales del país, con el propósito de garantizar una adecuada asignación de los costos asociados a los vertimientos. En este sentido, resaltó la necesidad de actualizar el enfoque del factor regional, de manera que refleje las condiciones y características específicas de cada región (MADS, 2024).
En la Tabla 1 se analizan las modificaciones introducidas por el Decreto 1553 de 2024 en comparación con el Decreto 2667 de 2012. Estas se relacionan con precisiones respecto al sujeto activo, la base gravable y la tarifa mínima, así como en ajustes estructurales en el método de cálculo del monto a pagar y del factor regional. Adicionalmente, se destaca la eliminación del establecimiento de metas de carga contaminante (Noreña Henao, 2025).
Tabla 1.
Modificaciones introducidas por el Decreto 1553 de 2024 respecto a los elementos del tributo.
| Elementos del tributo | Decreto 2667 de 2012 compilado en el Decreto 1076 de 2015 | Decreto 1553 de 2024 |
| Sujeto activo | Las corporaciones autónomas regionales (CAR), las corporaciones autónomas regionales de desarrollo sostenible (CARDS), los grandes centros urbanos (GCU) a los que se refiere el artículo 66 de la Ley 99 de 1993, los establecimientos públicos ambientales (EPA) creados por el artículo 13 de la Ley 768 de 2002, y Parques Nacionales Naturales de Colombia (PNN) de Colombia, creada por el Decreto Ley 3572 de 2011. | Adiciona el EPA de Buenaventura, creado en virtud del parágrafo 1[[6]] del artículo 124 de la Ley 1617 de 2013. |
| Sujeto pasivo | Los usuarios que realicen vertimientos puntuales directa o indirectamente al recurso hídrico. | |
| Hecho generador | Utilización directa e indirecta del recurso hídrico como receptor de vertimientos puntuales directos o indirectos. | |
| Base gravable | Totalidad de la carga contaminante descargada al recurso hídrico, cuantificada a partir de los elementos, sustancias o parámetros contaminantes definidos como objeto del cobro: DBO y SST. | Adiciona un artículo para definir la base gravable. Totalidad de la carga contaminante o sustancias nocivas vertida al recurso hídrico en un periodo determinado. Continúa el cobro de los parámetros DBO y SST. |
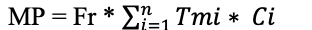
| Monto a pagar de la tasa | ![]() | ![]() |
| Anualmente se evalúa la meta global del cuerpo de agua o tramo del mismo, las metas individuales y grupales de carga contaminante. Monto a cobrar a cada usuario sujeto al pago de la tasa dependerá de la tarifa mínima, el factor regional de cada parámetro objeto de cobro y la carga contaminante vertida. | El monto a cobrar por concepto de la tasa se realiza anualmente a cada usuario sujeto de cobro, a partir de la tarifa mínima, el factor regional y la carga contaminante vertida de cada parámetro. | |
| Tarifa de la tasa | Ttr = TM * FR | |
| Para cada uno de los parámetros objeto de cobro. Expresada en $ (pesos) / kg de carga contaminante según parámetro. Compuesta por el producto de la tarifa mínima y el factor regional. | ||
| Tarifa mínima | La fija el MADS y se ajusta anualmente. Dicha tarifa considera los costos de recuperación del recurso afectado. | Adiciona que el MADS establecerá anualmente la tarifa mínima de la tasa mediante resolución. |
| Factor regional (FR) | FR1 = FRo + (Cc / Cm) | FR = (VA + VS) – VE |
| Se establece un FR por cada parámetro objeto de cobro de la tasa. Representa los costos sociales y ambientales de los efectos causados por los vertimientos al recurso hídrico. Está en función del FR del año inmediatamente anterior, la carga contaminante vertida y la meta de carga contaminante. Se calcula para cada uno de los parámetros objeto del cobro de la tasa. Los ajustes al factor regional y, por lo tanto, a la tarifa de la tasa retributiva se efectuarán hasta alcanzar las condiciones de calidad del cuerpo de agua para las cuales fue definida la meta. | Se establece un único FR de la tasa. El factor regional se calcula con base en las siguientes variables: -Variable ambiental: asociada a la calidad del agua, la relación del caudal o volumen del vertimiento con respecto al caudal o volumen de la receptora y la relación entre la concentración de los parámetros de DBO5 y la demanda química de oxígeno. -Variable socioeconómica: categorización de municipios y necesidades básicas insatisfechas de la población. -Variable económica: aplica a las prestadores del servicio público de alcantarillado según el avance en los proyectos de inversión en descontaminación hídrica. | |
| Establecimiento de metas de carga contaminante | El método de la tasa se fundamenta en el establecimiento de las metas de carga contaminante mediante la medición del grado de afectación del recurso hídrico por la descarga de vertimientos según la capacidad de asimilación de las fuentes superficiales. Su establecimiento se fundamenta técnicamente en los objetivos de calidad del recurso hídrico adoptados por las autoridades ambientales competentes. Se expresan como la carga total de contaminante a ser vertida en un determinado periodo de tiempo. | NO APLICA |
| Ajuste del factor regional | El factor regional se ajusta anualmente a partir de la finalización del primer año del quinquenio del incumplimiento de la meta global de carga contaminante (MGCC), esto se da cuando la carga contaminante vertida supera la carga meta. | Se calcula anualmente el factor regional. Para el caso de los prestadores del servicio público de alcantarillado, aplica el ajuste del factor regional a uno (1), por razones de no imputabilidad derivadas del incumplimiento de las obras previstas en el PSMV. |
Fuente: Decretos 2667 de 2012 y 1553 de 2024. Tomado de: Noreña Henao (2025).
El Decreto 1553 de 2024 reconfigura el factor regional incorporando tres dimensiones de impacto en la implementación del tributo: la capacidad de asimilación del vertimiento por parte de la fuente receptora, el nivel socioeconómico del municipio donde se realiza el vertimiento; y exclusivamente para los prestadores del servicio público de alcantarillado, un incentivo económico orientado a promover la ejecución de proyectos de inversión en descontaminación hídrica, a través de la reducción del factor regional y, en consecuencia, del valor a pagar por concepto del instrumento económico (MADS, 2022).
En la Tabla 2 se identifica los coeficientes asociados a las tres variables que integran el cálculo del factor regional de la tasa retributiva (Noreña Henao, 2025).
Tabla 2.
Variables del factor regional de la tasa retributiva.
| Variable ambiental | Variable Socioeconómica | Variable Económica |
| VA = ((CICA * 0,16) + (CR * 0,16) + (CB * 0,48)) | VS = ((CCM * 0,1) + (CNB1 * 0,1)) | VE = (CCI * 0,25) + (CEV * 0,25) + (CDS * 0,10) + (CCS * 0,40) Nota: aplica a los prestadores del servicio público de alcantarillado. |
| Coeficiente del Índice de Calidad del Agua – CICA (1 ≤ 𝐶𝐼𝐶𝐴 ≤ 5.5) | Coeficiente de categorización municipal – CCM (1 ≤ 𝐶𝐶𝑀 ≤ 5.5) | Coeficiente de construcción de interceptores y/o emisarios finales – CCI. (0 ≤ 𝐶𝐶𝐼 ≤ 1) |
| Se determina basado en el cálculo del índice de calidad del agua después del vertimiento. Nota: se debe considerar el valor más crítico. | Corresponde a la categoría del municipio donde se realiza el vertimiento. Nota: definida por la Contaduría General de la Nación. | Porcentaje de avance en la construcción de interceptores y/o emisarios finales. |
| Coeficiente de relación – CR (1 ≤ 𝐶𝑅 ≤ 5.5) | Coeficiente de Necesidades Básicas Insatisfechas – CNB1 (1 ≤ 𝐶𝑁𝐵𝐼 ≤ 5.5) | Coeficiente de eliminación de puntos de vertimiento – CEV (0 ≤ 𝐶𝐸𝑉 ≤ 1) |
| RQ= (Caudal vertimiento)/(Caudal cuerpo de agua) Se establece mediante la relación de caudales o volúmenes promedio del vertimiento y el caudal o volumen promedio de la fuente receptora. | Se determina de acuerdo con el porcentaje de población en calidad de necesidades básicas insatisfechas (NBI). Nota: establecido por el Departamento Administrativo Nacional de Estadística – DANE | Porcentaje de avance en la eliminación de puntos de vertimiento. Coeficiente de estudios y diseños de sistemas de tratamiento de aguas residuales – CDS (0 ≤ 𝐶𝐷𝑆 ≤ 1) |
| Coeficiente de biodegradabilidad – CB (1 ≤𝐶𝐵 ≤ 5.5) RB= [DBO]5/DQO | Porcentaje de avance en estudios y diseños de sistemas de tratamiento de aguas residuales. | |
| Se calcula a partir de la relación de concentración de la DBO5 y la DQO. Nota: indica si las sustancias contaminantes del vertimiento son de tipo orgánico o inorgánico. | Coeficiente de construcción de sistemas de tratamiento de aguas residuales – CCS (0 ≤ 𝐶𝐶𝑆 ≤ 1) Porcentaje de avance en la construcción de sistemas de tratamiento de aguas residuales. |
*Los cuadros sombreados corresponden a variables o coeficientes del factor regional de la tasa retributiva.
Fuente: Decreto 1553 de 2024. Tomado de: Noreña Henao (2025).
Respecto al cobro y el seguimiento, el Decreto 1553 de 2024 (Noreña Henao, 2025) :
- Adiciona un articulado donde aclara que la tasa retributiva es un tributo de carácter anual, por lo cual su causación corresponde al periodo del 01 de enero al 31 de diciembre de cada año.
- Mantiene la obligación de reportar información al MADS sobre la implementación del instrumento económico por parte de las autoridades ambientales.
- No introduce modificaciones en la destinación específica del recaudo de la tasa.
Por otra parte, introduce las siguientes modificaciones:
- La presentación de la autodeclaración antes del 30 de enero del año siguiente al periodo a declarar.
- Se extiende el requisito de acreditación ante el Instituto de Hidrología, Meteorología y Estudios Ambientales (IDEAM) a los laboratorios que realizan no solo el análisis, sino también la toma y preservación de las muestras utilizadas para el monitoreo de los vertimientos.
- Se elimina el plazo mínimo de cancelación de 20 días, manteniéndose únicamente el plazo máximo de 30 días contados a partir de la fecha de expedición del documento de cobro.
- Se aclara que la reclamación o aclaración debe presentarse dentro del mes siguiente a la fecha límite de pago establecida en el documento de cobro, y que contra el acto administrativo que la resuelva, procede el recurso de reposición. En consecuencia, el pago se efectuará con base en la carga contaminante correspondiente al último periodo de facturación.
- Se dispone que las autoridades ambientales deben ejecutar, al menos una vez al año, monitoreos de cantidad y calidad en cuerpos de agua continentales superficiales y marinos.
En conclusión, el Decreto 1553 de 2024 surge como respuesta al compromiso del Gobierno Nacional con los prestadores del servicio público de alcantarillado, frente a la insostenibilidad financiera del sector y las dificultades para ejecutar las obras de saneamiento hídrico municipal previstas en los Planes de Saneamiento y Manejo de Vertimientos (PSMV). La necesidad de actualizar la tasa retributiva para aliviar la carga económica de los prestadores del servicio público de alcantarillado, dio lugar a la incorporación, de manera exclusiva para estos, de un incentivo económico orientado a promover la ejecución de proyectos de inversión en descontaminación hídrica, mediante la reducción del factor regional (variable económica). Sin embargo, esta actualización también resultó oportuna para integrar en el factor regional dos nuevas dimensiones: la ambiental y la socioeconómica, determinadas respectivamente, por la capacidad de asimilación de la fuente receptora y por el nivel socioeconómico del municipio en el que se realiza el vertimiento.
No obstante, la variable ambiental resulta especialmente relevante debido a su alta incidencia en el método de cálculo del factor regional, así como en el aspecto cuantitativo del tributo medioambiental. Esta variable incorpora consideraciones técnicas acertadas, en la medida en que responden a criterios de sostenibilidad ambiental, a través del nivel de biodegradabilidad de la carga vertida y la capacidad de asimilación de las fuentes hídricas receptoras. Por su parte, la variable socioeconómica introduce una diferenciación económica a nivel municipal, adecuada para internalizar la capacidad contributiva de los sujetos pasivos en el valor a pagar por concepto de la tasa. Sin embargo, la variable económica implica una reducción significativa en el valor del factor regional y, en consecuencia, en el monto a pagar por el instrumento económico, beneficio que aplica exclusivamente a los prestadores del servicio público de alcantarillado. Esta situación favorece nuevamente a dicho sector y desvirtúa los principios y fundamentos teóricos que sustentan la tasa retributiva.
Bibliografía:
MADS. (2022). Memoria justificativa. Proyecto de Decreto “Por el cual se sustituye el Capítulo 7 del Título 9 de la Parte 2 del Libro 2, del Decreto 1076 de 2015, Decreto Único Reglamentario del Sector Ambiente y Desarrollo Sostenible, en lo relacionado con la Tasa Retributiva por la utilización directa e indirecta del agua como receptor de los vertimientos puntuales y se dictan otras disposiciones”. (pp. 1–33).
MADS. (2024). Documento técnico de soporte. Ajuste a la reglamentación de la tasa retributiva por vertimientos puntuales al agua. Oficina de Negocios Verdes Sostenibles, Grupo de Análisis Económico para la Sostenibilidad. (pp. 1–111).
MAVDT. (2010). Política nacional para la gestión integral del recurso hídrico – PNGIRH. Ministerio de Ambiente, Vivienda y Desarrollo Territorial. https://www.minambiente.gov.co/wp-content/uploads/2021/10/Politica-nacional-Gestion-integral-de-recurso-Hidrico-web.pdf
Noreña Henao, A. F. (2024a). Régimen jurídico de las tasas ambientales en Colombia Evaluación de la tributación de las tasas ambientales del recurso hídrico. Universidad Externado de Colombia. https://publicaciones.uexternado.edu.co/gpd-regimen-juridico-de-las-tasas-ambientales-en-colombia-9789585061873.html
Noreña Henao, A. F. (2024b). Análisis sobre el artículo 25 de la Ley 2294 de 2023 “Por el cual se expide el Plan Nacional de Desarrollo 2022-2026 “Colombia Potencia Mundial de la Vida”, que adiciona un parágrafo transitorio al artículo 42 de la Ley 99 de 1993 sobre el factor regional de la tasa retributiva por vertimientos puntuales al agua para los prestadores del servicio público de alcantarillado. https://medioambiente.uexternado.edu.co/analisis-sobre-el-articulo-25-de-la-ley-2294-de-2023-por-el-cual-se-expide-el-plan-nacional-de-desarrollo-2022-2026-colombia-potencia-mundial-de-la-vida-que-adiciona-un-par/#:~:text=En%20su%20artículo%2025%20se,a%20través%20del%20tributo%20medioambiental.
Noreña Henao, A. F. (2025). Evolución normativa de la tasa retributiva por vertimientos puntuales al recurso hídrico: análisis del Decreto 1553 de 2024. En Lecturas sobre Derecho del Medio Ambiente, Tomo XXV (pp. 403–426). Universidad Externado de Colombia.
Sánchez Muñoz, C. J. (2021). Tributación medioambiental. Alcance y límites de la extrafiscalidad ecológica en Colombia. Universidad Externado de Colombia. https://publicaciones.uexternado.edu.co/gpd-tributacion-medioambiental-9789587905939.html
Yáñez Henríquez, J. (2016). Impuesto Pigouviano. Revista de Estudios Tributarios, 159–197. https://revistaestudiostributarios.uchile.cl/index.php/RET/article/view/46986/48984
Normatividad:
Ley 99 de 1993. Por la cual se crea el Ministerio del Medio Ambiente, se reordena el Sector Público encargado de la gestión y conservación del medio ambiente y los recursos naturales renovables, se organiza el Sistema Nacional Ambiental, SINA, y se dictan otras disposiciones. Expedida el 22 de diciembre de 1993.
Ley 768 de 2002. Por la cual se adopta el Régimen Político, Administrativo y Fiscal de los Distritos Portuario e Industrial de Barranquilla, Turístico y Cultural de Cartagena de Indias y Turístico, Cultural e Histórico de Santa Marta. Expedida el 31 de julio de 2002.
Decreto 3572 de 2011. Por el cual se crea una Unidad Administrativa Especial, se determinan sus objetivos, estructura y funciones. Expedido el 27 de septiembre de 2011.
Decreto 2667 de 2012. Por el cual se reglamenta la tasa retributiva por la utilización directa e indirecta del agua como receptor de los vertimientos puntuales, y se toman otras determinaciones. Expedido el 21 de diciembre de 2012.
Ley 1617 de 2013. Por la cual se expide el Régimen para los Distritos Especiales. Expedida el 5 de febrero de 2013.
Ley 1753 de 2015. Por la cual se expide el Plan Nacional de Desarrollo 2014-2018 “Todos por un nuevo país”. Expedida el 9 de junio de 2015.
Ley 2294 de 2023. Por la cual se expide el Plan Nacional de Desarrollo 2022-2026 “Colombia potencia mundial de la vida”. Expedida el 19 de mayo de 2023.
Decreto 1553 de 2024. Por el cual se sustituye el Capítulo 7 del Título 9 de la Parte 2 del Libro 2, del Decreto 1076 de 2015, Decreto Único Reglamentario del Sector Ambiente y Desarrollo Sostenible, en lo relacionado con la tasa retributiva por la utilización directa e indirecta del agua como receptor de los vertimientos puntuales y se dictan otras disposiciones. Expedido el 23 de diciembre de 2024.
[1] Ingeniero Ambiental de la Universidad EIA y Técnico Profesional en Peritaje Ambiental de la Universidad Autónoma de Bucaramanga, con Maestría en Derecho del Estado con énfasis en Derecho de los Recursos Naturales y Especialización en Derecho del Medio Ambiente de la Universidad Externado de Colombia. Investigador del Departamento de Derecho del Medio Ambiente de la Universidad Externado de Colombia. Ha sido profesor de las universidades EIA, Externado de Colombia, Unilasallista, Unisabaneta y Católica Luis Amigó. Actualmente se desempeña como coordinador técnico y académico experto en agua y saneamiento en Acodal Noroccidente, profesional de recurso hídrico en Cornare y consultor independiente en asuntos propios de ingeniería ambiental y de derecho del medio ambiente. Correo: andresfelipenorenahenao@gmail.com ; ORCID: https://orcid.org/0009-0006-5762-1344
[2] Aquel agente que se beneficia por el aprovechamiento/explotación del medio ambiente, debe compensar a la sociedad por las acciones nocivas que desarrolla, además de compartir la riqueza que obtiene por un bien público que no le pertenece en su totalidad (Sánchez Muñoz, 2021).
[3] Modificar comportamientos de los agentes económicos (tributos correctivos), a la vez que se recaudan recursos económicos para la administración (Yáñez Henríquez, 2016).
[4] Artículo 228 de la Ley 1753 de 2015. Plan Nacional de Desarrollo 2014-2018 “Todos por un nuevo país”.
[5] Artículo 25 de la Ley 2294 de 2023. Plan Nacional de Desarrollo 2022-2026 “Colombia potencia mundial de la vida”.
[6] La jurisdicción de la autoridad ambiental que se crea en el marco de este artículo, es toda la zona urbana y suburbana del Distrito de Buenaventura en su condición de distrito biodiverso.
Imagen: Pixabay (2016). Imagen de Rio, Colombia y Sol. Extraído de: https://pixabay.com/es/photos/rio-colombia-sol-verano-de-r%C3%ADo-1405645/

